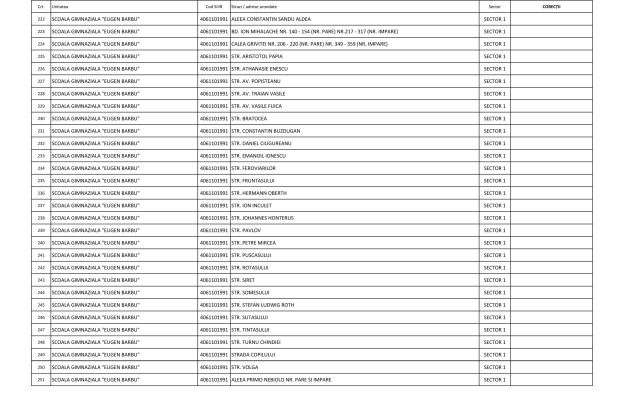
Circumscripțiile pentru școlile gimnaziale sunt stabilite anual de Inspectoratul Școlar Județean (ISJ). Acestea arondează străzi specifice fiecărei unități de învățământ. Pentru informații oficiale, consultați site-ul ISJ sau paginile prezente pe site-ul nostru.
Informații cheie privind circumscripțiile:
ISJ: Publică arondarea pe străzi pentru înscrierea în clasa pregătitoare, disponibilă pe site-ul lor oficial.
Școala Gimnazială Eugen Barbu: Circumscripția include străzi conform planului de școlarizare.













